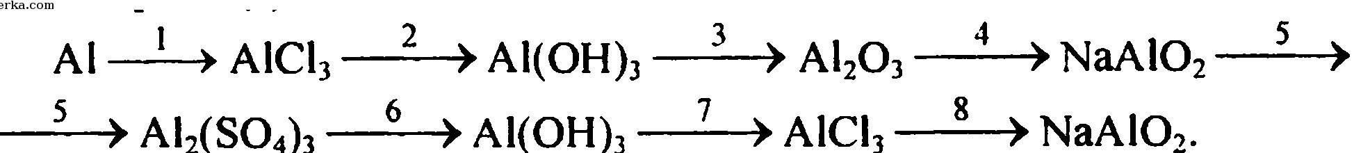
помогите пожалуйста!!! химия осуществить цепь последовательных превращений (файл ниже)
Приложения:

Ответы
Ответ дал:
0
Ответ:
вот
Объяснение:
насчёт 8 реакции стоит подумать,сама не знаю(
Приложения:

Вас заинтересует
2 года назад
2 года назад
2 года назад
2 года назад
8 лет назад
9 лет назад
9 лет назад