пример лёгких но считать лень 6 класс (на фото)
Приложения:

Elena3982:
Если лёгкий,то пусть лень тебе поможет.
Ответы
Ответ дал:
0
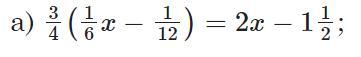
Ответ:
х = 1.2
Пошаговое объяснение:
1/8 х - 1/16 = 2х - 1 1/2
1/8 х - 1/16 = 2х - 1 8/16
1/8х = 2х - 1 9/16
1 7/8х = 1 9/16
х = 1.2
Ответ дал:
1
Ответ:
Пошаговое объяснение:
Приложения:

Вас заинтересует
2 года назад
2 года назад
2 года назад
2 года назад
8 лет назад
9 лет назад
9 лет назад