Ответы
                                            Ответ дал: 
                                                                                    
                                        
                                            
                                                
                                                
                                                
                                                    1
                                                
                                            
                                        
                                    Ответ:
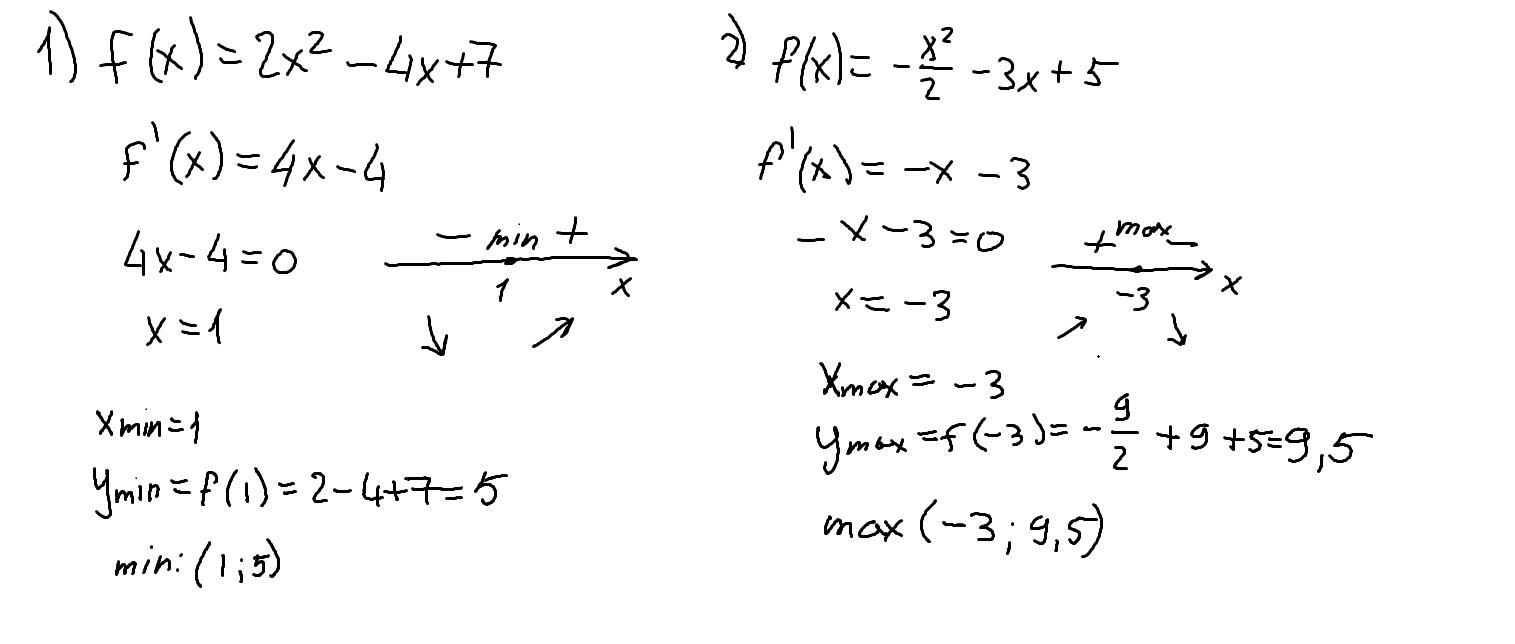
Точки экстремума-это координаты вершины параболы. Если ветви параболы направлены вверх, то находим Минимум, если вниз, то Максимум.
1) х0=-b/2a;x0=4/4=1; y0=2•1-4•1+7=5 Min(1;5)
2) x0=3/(-1)=-3; y0=-(-3)²/2-3(-3)+5=-4,5+9+5=9,5
Max(-3;9,5)
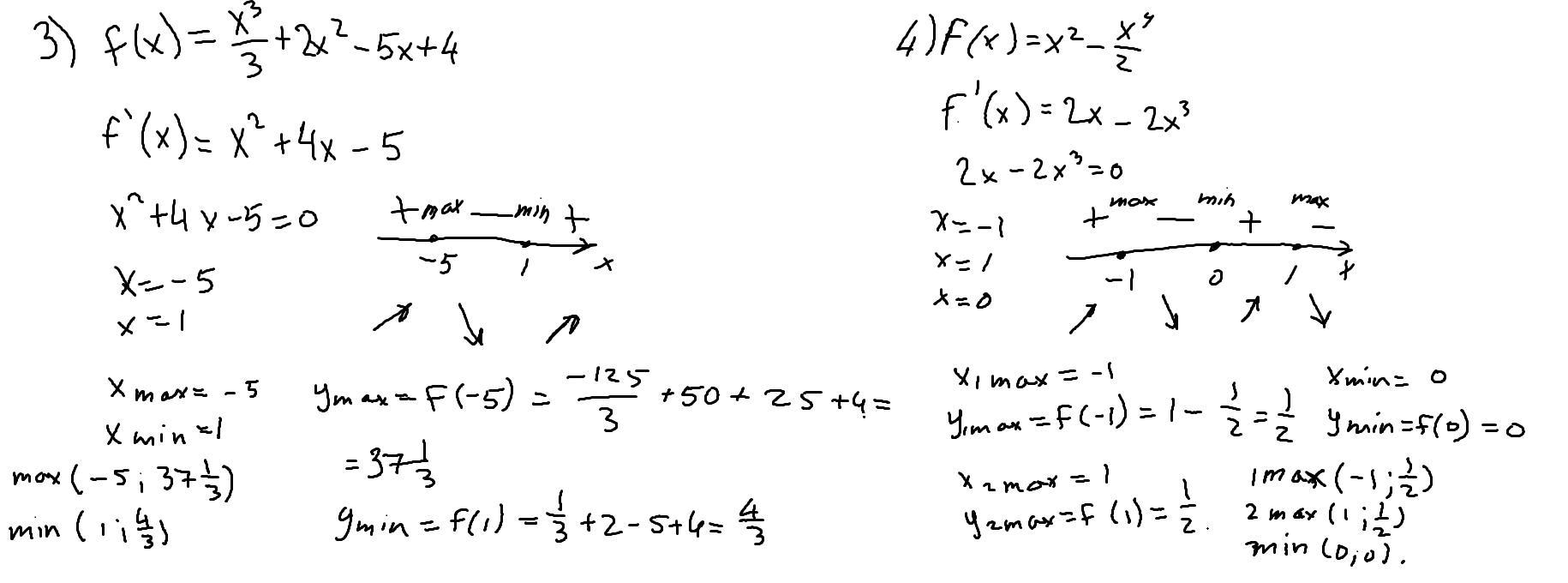
4)x²=a; a-a²/2=- a²+2a; x0=-2/2=-1; y0=(-1)²+2•(-1)=-1
Min(-1;-1)
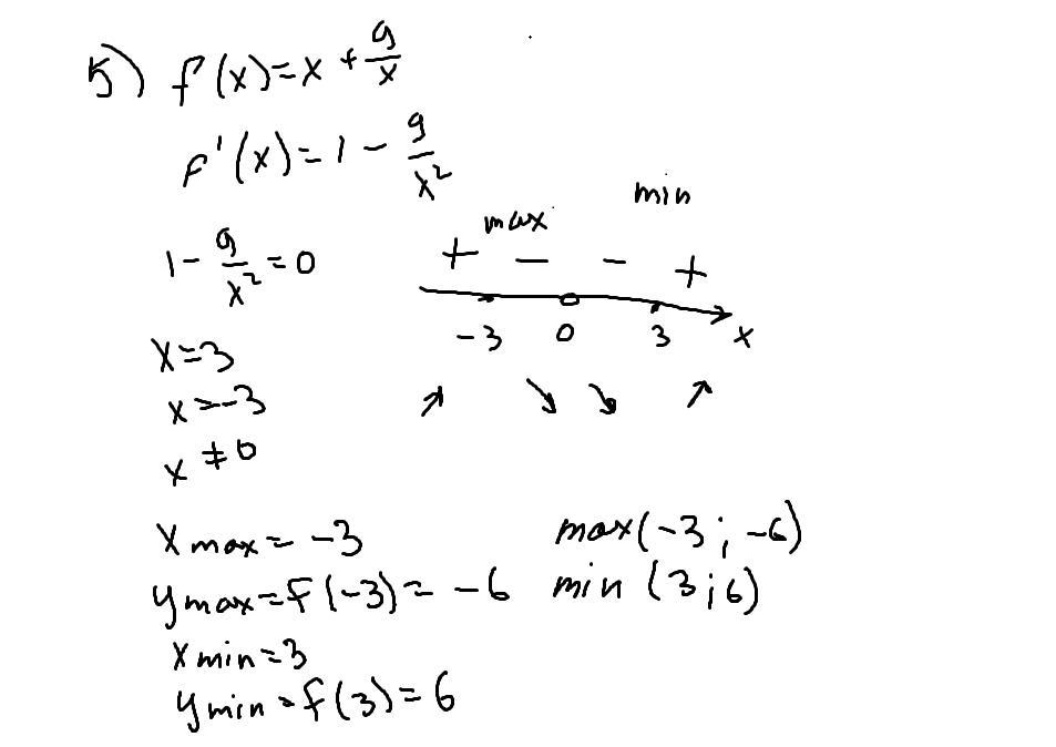
5) x+9/x=x²+9; x0=-9/2=-4,5; y0=81/4+9=(81+36)/4=29,25; Min(-4,5;29,25
                                            Ответ дал: 
                                                                                    
                                        
                                            
                                                
                                                
                                                
                                                    1
                                                
                                            
                                        
                                    //////////////////////////////////////////////////////
Приложения:
                    
                            
                            
                            Вас заинтересует
                
                        2 года назад
                    
                
                        2 года назад
                    
                
                        2 года назад
                    
                
                        2 года назад
                    
                
                        9 лет назад