• Предмет: Математика
  • Автор: emcmniznzaoqvdvjam
  • Вопрос задан 7 лет назад

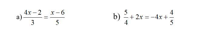
Как решить уравнения?

Приложения:

Ответы

Ответ дал: yroslavafuchko
0

Ответ:

а) 5(4×-2)=3(×-6)

20×-10=3×-18

20×-3×=-18+10

17×=-8

×=-8,17- в дробах

Вас заинтересует