• Предмет: Математика
  • Автор: TynouLox
  • Вопрос задан 7 лет назад

Ребята пж РЕШИТЕ ПРОПОРЦИЮ!!! ДАЮ 30 БАЛЛОВ!

Приложения:

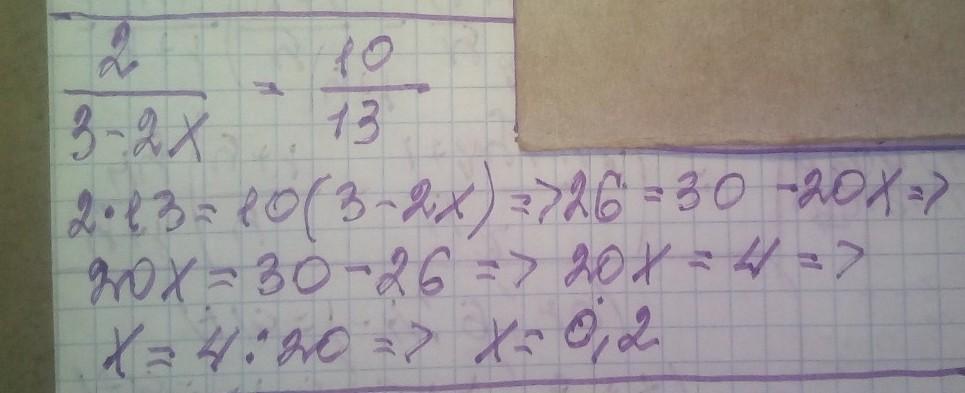
Ответы

Ответ дал: manyny06
1

Ответ:

решение смотри на фотографии

Приложения:

TynouLox: Чел сори, но ты сделал не так как мне нужно. Прост училка догадается.
Ответ дал: lymar89
1

Відповідь:

Покрокове пояснення:

13*2/10=3-2х

2.6=3-2х

2х=-2.6+3

2х=5.6

х=2.8


lymar89: ьак сойдет?
lymar89: *так
TynouLox: Да
TynouLox: Спс
lymar89: можно как лутший ответ? пж
lymar89: незашто
TynouLox: Ок
lymar89: спасибо
lymar89: большое
Вас заинтересует