• Предмет: Алгебра
  • Автор: andreymelnychenko200
  • Вопрос задан 7 лет назад

Даю 95 балов помогите срочно умоляю примери в закрепе!!!!!!!!!!​

Приложения:

Ответы

Ответ дал: NNNLLL54
0

Ответ:

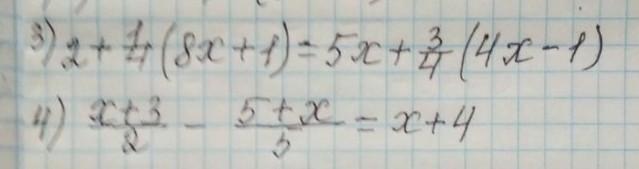
3)  Умножаем уравнение на 4, чтобы освободиться от знаменателя.

2+\dfrac{1}{4}\cdot (8x+1)=5x+\dfrac{3}{4}\cdot (4x-1)\ \ \ \Big|\cdot 4\\\\8+(8x+1)=20x+3(4x-1)\\\\8+8x+1=20x+12x-3\\\\8x+9=32x-3\\\\24x=12\\\\x=\dfrac{1}{2}  

4)  Умножаем уравнение на 10, чтобы освободиться от знаменателя.

\dfrac{x+3}{2}-\dfrac{5+x}{5}=x+4\ \ \Big|\cdot 10\\\\\\5(x+3)-2(5+x)=10(x+4)\\\\5x+15-10-2x=10x+40\\\\3x+5=10x+40\\\\7x=35\\\\x=5

Вас заинтересует