• Предмет: Алгебра
  • Автор: daniakucher292
  • Вопрос задан 7 лет назад

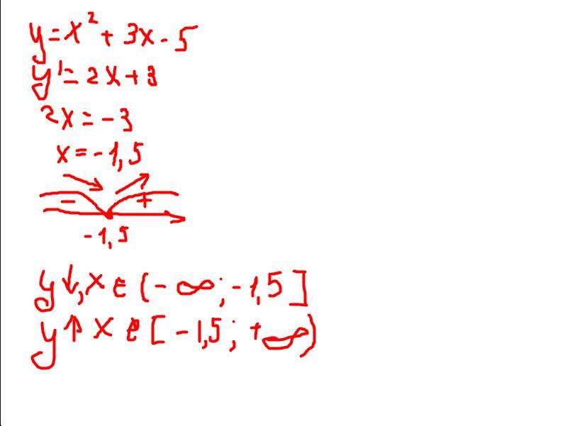
Запишіть проміжки зростання і
спадання функції

Приложения:

Ответы

Ответ дал: MisterCotik
1

Решение на скриншоте

Приложения:

daniakucher292: Дякую :)
Вас заинтересует