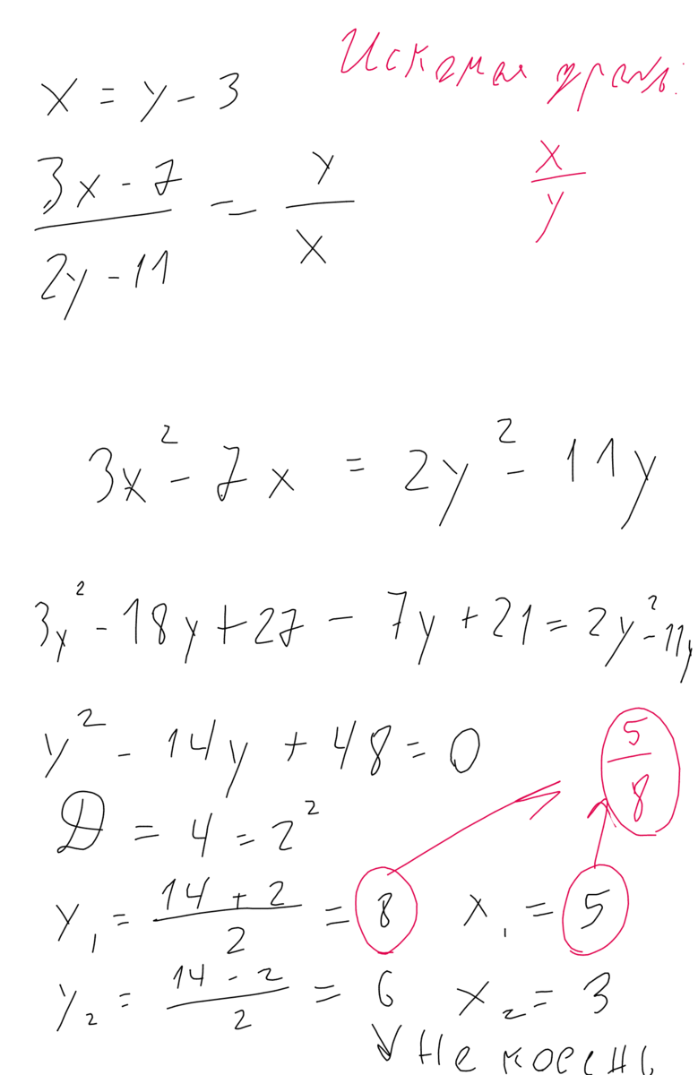
Знаменатель обыкновенной дроби больше её числителя на 3. Если числитель дроби увеличить в 3 раза , а затем уменьшить на 7 , а знаменатель увеличить в 2 раза , а затем уменьшить на 11 , то получится дробь, обратная данной. Найдите эту дробь.
Плиз с обьяснением.
Ответы
Ответ дал:
0
А хотя нет видимо где то моя ошибка, решение есть:
Приложения:

Вас заинтересует
2 года назад
8 лет назад
10 лет назад
10 лет назад
10 лет назад
10 лет назад