Ответы
Ответ дал:
1
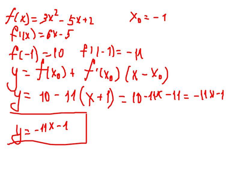
Решение на скриншоте
Приложения:

marlena65:
Спасибо огромное
Вас заинтересует
2 года назад
2 года назад
2 года назад
8 лет назад
8 лет назад
9 лет назад