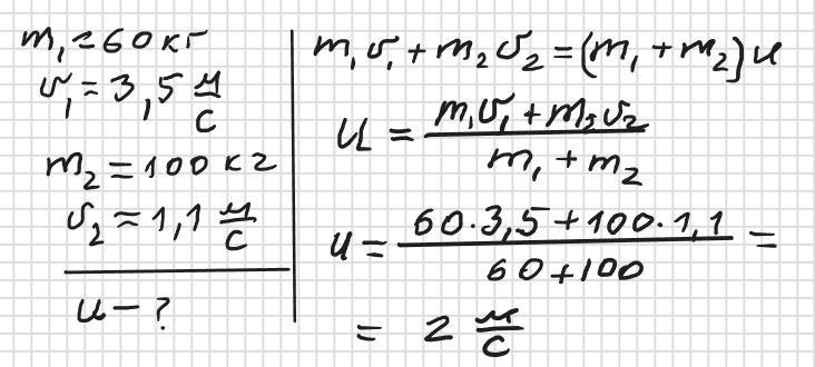
Людина масою 60кг, яка біжить зі швидкістю 3,5м/с, наздоганяє візок масою 100кг, що рухається зі швидкістю 1,1м/с. З якою швидкістю рухається візок з людиною?
Ответы
Ответ дал:
3
Відповідь: 2 м/с
Пояснення:
Приложения:

Вас заинтересует
2 года назад
2 года назад
2 года назад
8 лет назад