• Предмет: Физика
  • Автор: katrin3645
  • Вопрос задан 7 лет назад

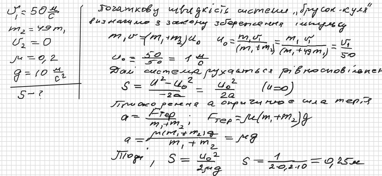
Куля з пневматичної гвинтівки, що летить горизонтально зі швидкістю 50 м/с. улучае в брусок, що лежить на столі, і застряє в ньому. На яку відстань пе реміститься брусок, якщо його маса в 49 разів більша,ніж маса кулі, а коефіцієнт тертя між бруском і столом дорівнює 0,2?

Ответы

Ответ дал: zybkov1950
3

Відповідь: 0,25 м

Пояснення:

Приложения:
Вас заинтересует