• Предмет: Физика
  • Автор: artemdombrovskyi2
  • Вопрос задан 7 лет назад

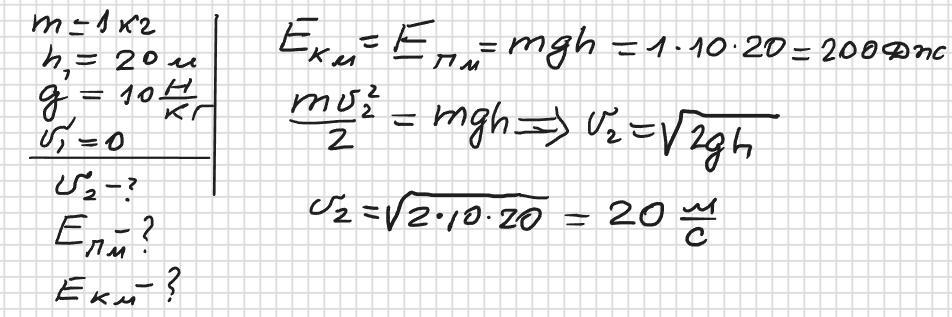
1. Камінь масою 1кг падає з висоти 20м. Визначити швидкість тіла в момент падіння та максимальну потенціальну та кінетичну енергію.​

Ответы

Ответ дал: zybkov1950
1

Відповідь:  20 м/с           200 Дж      200 Дж

Пояснення:

Приложения:

artemdombrovskyi2: дякую!
Вас заинтересует