Ответы
Ответ дал:
2
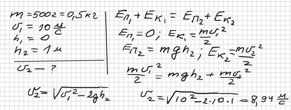
Відповідь: 8,94 м/с
Пояснення:
Приложения:

artemdombrovskyi2:
дякую!
Вас заинтересует
2 года назад
2 года назад
2 года назад
9 лет назад