• Предмет: Химия
  • Автор: gusshcha
  • Вопрос задан 7 лет назад

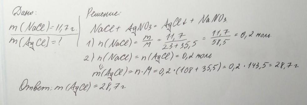
Натрій хлорид масою 11,7 г взаємодіє з аргентум (І) нітратом. Обчисліть масу утвореного осаду. РОЗВ'ЯЗОК ЗАДАЧІ ПОВНИЙ.​

Ответы

Ответ дал: yonkata
0

Решение задачи на фотографии

Приложения:

yonkata: можно "лучший ответ"?
Вас заинтересует