• Предмет: Алгебра
  • Автор: pankevicoksana01
  • Вопрос задан 7 лет назад

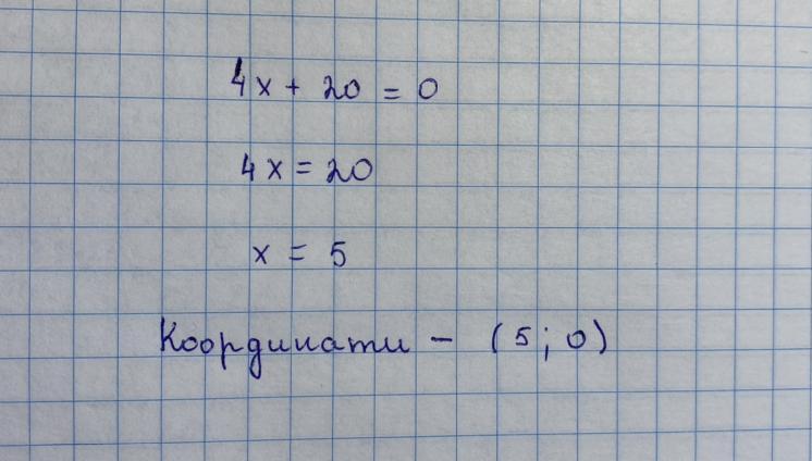
Не виконуючи побудови графіка, знайти точку перетину графіка функції у = 4х + 20 з віссю абсцис. (координати записуйте в дужках , відділяючи їх крапкою з комою)

Ответы

Ответ дал: wishapow
1
я надеюсь, что правильно поняла задание. ответ находиться ниже на фото :)
Приложения:
Вас заинтересует