• Предмет: Математика
  • Автор: Аноним
  • Вопрос задан 7 лет назад

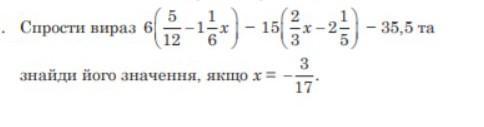
Срочно допоможіть з завданням дам 50 балів​

Приложения:

Ответы

Ответ дал: iramazurk
0

Ответ:

3

Пошаговое объяснение:

6(5/12 - 1. 1/6х) - 15(2/3х - 2. 1/5) - 35,5 =

6(5/12 - 7/6х) - 15(2/3х - 11/5) - 35,5 =

30/12 - 42/6х - 30/3х + 165/5 - 35,5 =

2,5 - 7х - 10х + 33 - 35,5 = -17х

х = -3/17

-17х = -17 * (-3/17) = 51/17 = 3

Ответ: 3

Ответ дал: dyexfnf
0

Ответ:

Пошаговое объяснение:

6(5/12 - 1 1/6х) - 15(2/3х - 2 1/5) -35,5 = 6(5/12 - 7/6х) - 15(2/3х - 11/5) - 35,5 = = 30/12 - 42/6х - 30/3х + 165/5 - 35,5 = 2,5 - 7х - 10х + 33 - 35,5 = -17х

якщо х = -3/17

-17х = -17 * (-3/17) = 51/17 = 3

Вас заинтересует