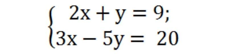
Розвяжіть систему рівнянь способом підстановки
У відповідь запишіть суму х + у
СРОЧНО ПОМОГИТЕ ПОЖАЛУСТА
Приложения:

Ответы
Ответ дал:
1
Объяснение:
{2х+у=9 у=9-2х
{3х-5у=20
3х-5(9-2х)=20
3х-45+10х=20
13х=20+45
13х=65
Х=65:13
Х=5
У=9-2×5
У=9-10
У= - 1
(5; - 1)
Х+у=5+(-1)=5-1=4
Вас заинтересует
2 года назад
2 года назад
2 года назад
2 года назад
8 лет назад
8 лет назад