• Предмет: Геометрия
  • Автор: stendoffikflow
  • Вопрос задан 7 лет назад

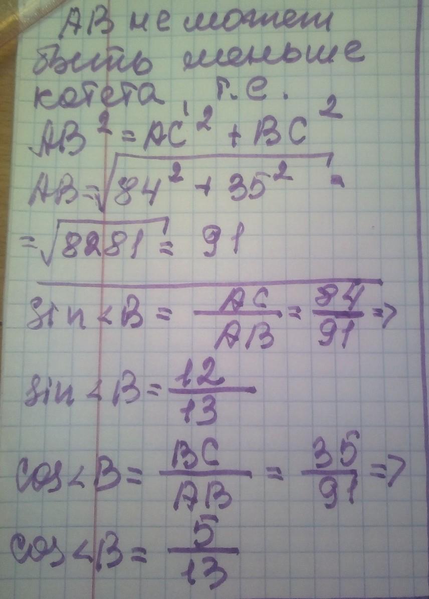
Найдите пожалуйста sinB и cosB
30 БАЛЛОВ!!!

Приложения:

Ответы

Ответ дал: manyny06
0

Ответ:

решение смотри на фотографии

Приложения:
Вас заинтересует