• Предмет: Физика
  • Автор: kboychenko470
  • Вопрос задан 7 лет назад

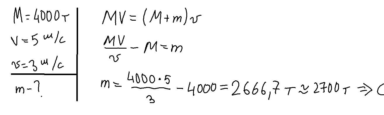
криголам маса якого 4000 т рухається рівномірно 5 м/с, навтошнувшись на рижану, він руха її по переду себе зі швидкістю 3м/с Знайти масу крижини. А:10700т, B:3000т, C:2700т

Ответы

Ответ дал: romanforever14
1

................................................

Приложения:
Вас заинтересует