• Предмет: Физика
  • Автор: kboychenko470
  • Вопрос задан 7 лет назад

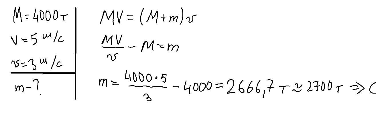
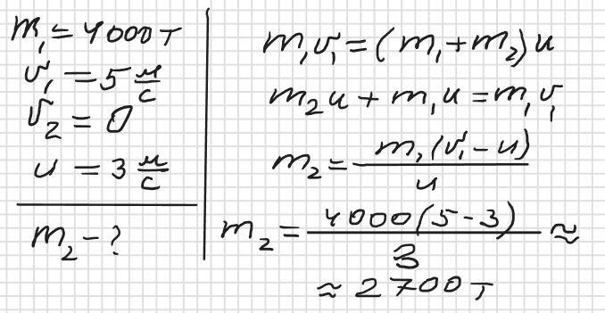
криголам маса якого 4000 т рухається рівномірно 5 м/с, навтошнувшись на рижану, він руха її по переду себе зі швидкістю 3м/с Знайти масу крижини. А:10700т, B:3000т, C:2700т. Кр срочно надо

Ответы

Ответ дал: romanforever14
1

.......................................................................

Приложения:
Ответ дал: zybkov1950
0

Відповідь: 2700 т

Пояснення:

Приложения:
Вас заинтересует