• Предмет: Алгебра
  • Автор: vvika1327
  • Вопрос задан 7 лет назад

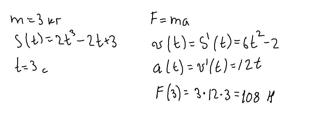
Маляр пересуває банку з фарбою масою 3 кг таким чином, що вона рухається за законом S(t) =2t^3-2t+3. Знайдіть силу прикладену до банки, момент часу t= 3с

Ответы

Ответ дал: romanforever14
4

......................................................

Приложения:
Вас заинтересует