Даю 60 балів
Допоможіть будь ласка!
                        
                                    Приложения:
                    
                            
                    dedulja66let:
                    Площадь не измеряется в кубических сантиметрах!!!
                
            Ответы
                                            Ответ дал: 
                                                                                    
                                        
                                            
                                                
                                                
                                                
                                                    0
                                                
                                            
                                        
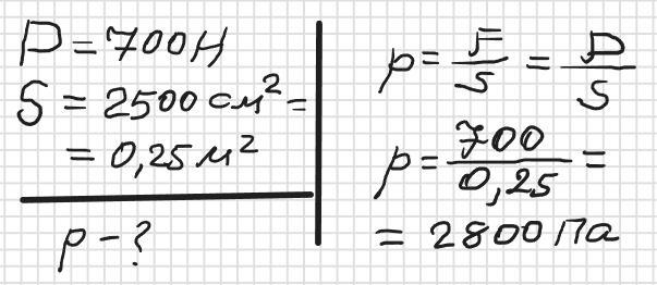
                                    Відповідь: 2800 Па
Пояснення:
Приложения:
                    
                            Вас заинтересует
                
                        2 года назад
                    
                
                        2 года назад
                    
                
                        2 года назад
                    
                
                        8 лет назад