• Предмет: Алгебра
  • Автор: pirimovairma69
  • Вопрос задан 7 лет назад

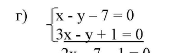
Алгебра седьмой класс даю 1000 баллов

Приложения:

Ответы

Ответ дал: reverasvetlana
1

Ответ: (-4;-3)

))))))))

Приложения:

reverasvetlana: при сложении двух уравнений -х+3х=2х
pirimovairma69: Почему не -2х?
reverasvetlana: потому что -1х+3х это все равно что 3х-1х (3-12 а не -2)
reverasvetlana: 2*
reverasvetlana: блин
reverasvetlana: 12 1 должно быть
reverasvetlana: вместо
reverasvetlana: короче забей
pirimovairma69: Короче всё правильно?
Аноним: у меня правильно
Вас заинтересует