• Предмет: Алгебра
  • Автор: bogdanlishnyk
  • Вопрос задан 7 лет назад

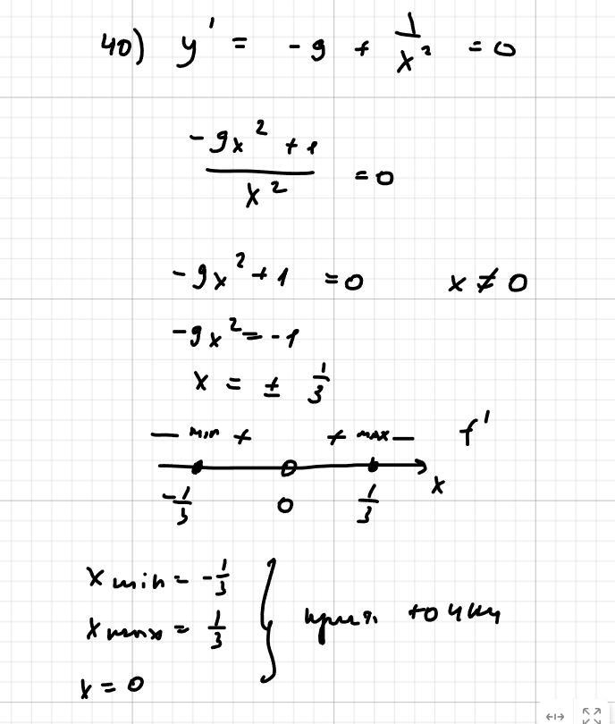
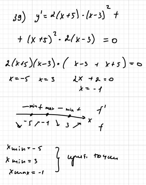
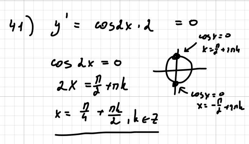
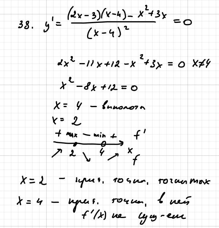
Визначте критичні точки функції

Приложения:

Ответы

Ответ дал: Гурлей
1

Алгоритм:

1) Находим производную

2) Приравниваем её к нулю и решаем уравнение. Не забываем про ОДЗ!

3) Отмечаем найденные точки и выколотые на числовой прямой

4) Берем промежутки и подставляем какой нибудь х в производную, в том промежутке где она положительна ставим + и наоборот

Вообще крит. точки - это точки в которых производная равна нулю или не существует, т.е. достаточно решить уравнения в общем и остановится на пункте 2

Приложения:

bogdanlishnyk: понял спасибо !
Вас заинтересует