• Предмет: Геометрия
  • Автор: valeriyserg77
  • Вопрос задан 7 лет назад

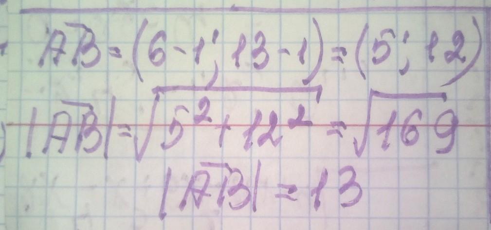
Дано точки A(1; 1) і B(6; 13). Тоді абсолютна величина вектора (AB) дорівнює...

Ответы

Ответ дал: manyny06
0

Ответ:

решение смотри на фотографии

Приложения:

valeriyserg77: Спасибо бро
Вас заинтересует