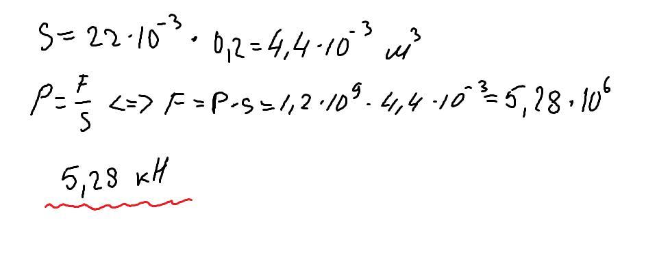
З якою силою людина тисне на лопату, якщо лопата шириною 20 см і товщиною леза 1 мм чинить тиск 1,2 МПа?
Ответы
Ответ дал:
0
.........................................
Приложения:

Ответ дал:
1
Відповідь: 200 Н
Пояснення:
Приложения:

Вас заинтересует
2 года назад
2 года назад
8 лет назад
9 лет назад