Ответы
Ответ дал:
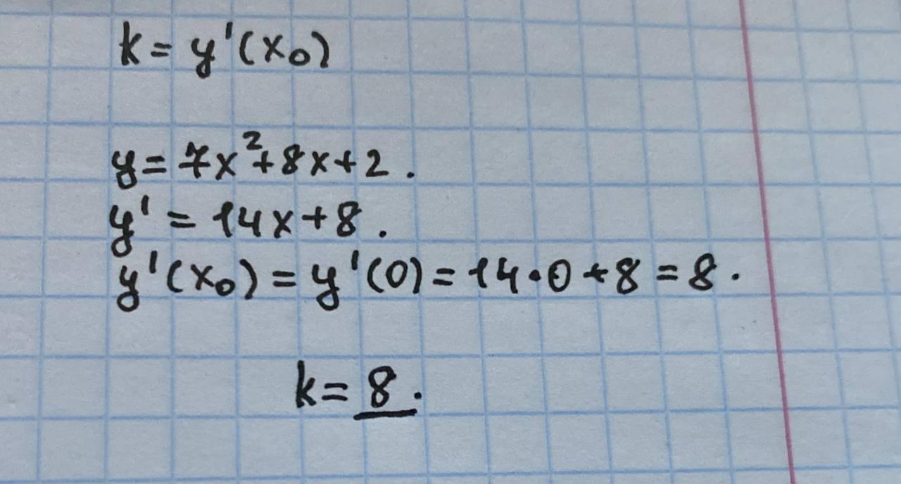
0
.................................
Приложения:

Вас заинтересует
2 года назад
2 года назад
8 лет назад
9 лет назад