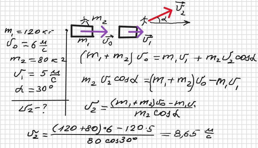
Візок , масою 120 кг , рухається колією без тертя зі швидкістю 6 м / с . З візка зіскакує людина масою 80 кг під кутом 30º до напрямку його руху . Швидкість візка при цьому зменшується до 5 м / с . Якою була швидкість людини час стрибка відосно землi ?
ПОМОГИТЕ СРОЧНО
Ответы
Ответ дал:
1
Відповідь: 8,65 м/с
Пояснення:
Приложения:

Вас заинтересует
2 года назад
2 года назад
2 года назад
2 года назад
8 лет назад
9 лет назад