Ответы
Ответ дал:
1
................................
Приложения:

veronika27209:
спасибо
Ответ дал:
1
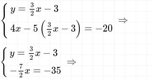
всего лишь раскрыть скобки. привести подобные.
4х-5*(3х/2)-5*(-3)=-20
4х-15х/2+15=-20
4х-15х/2=-15-20
(8х-15)/2=-35
-7х/2=-35
х=-35*(-2/7)
х=10
Но согласен. долго идти к этому, было бы проще умножить обе части уравнения на 2
получили б
8х-5*3х+5*2*3=-40
-7х=-70
х=-70/(-7)
х=10
старайтесь избегать дробей. для этого надо обе части уравнения умножать на наименьший общий знаменатель всех дробей уравнения
Вас заинтересует
2 года назад
2 года назад
2 года назад
8 лет назад
8 лет назад
9 лет назад
9 лет назад