Ответы
Ответ дал:
0
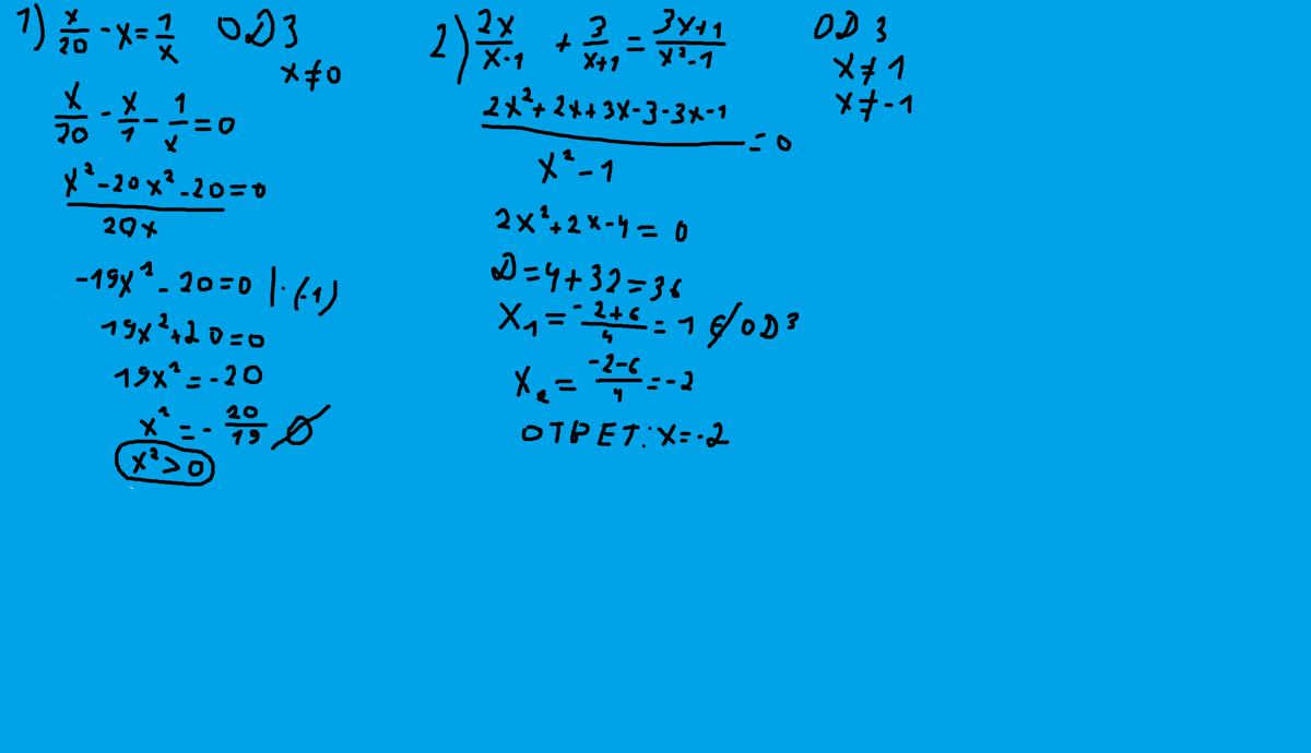
вот решение если что-то не понятно спрашивай
Приложения:

Ответ дал:
0
спасибо тебе огромное!!
Ответ дал:
0
все понятно!
Ответ дал:
0
это хорошо
Вас заинтересует
2 года назад
2 года назад
8 лет назад
8 лет назад
10 лет назад
10 лет назад
10 лет назад