• Предмет: Алгебра
  • Автор: polinakaluznaa4
  • Вопрос задан 7 лет назад

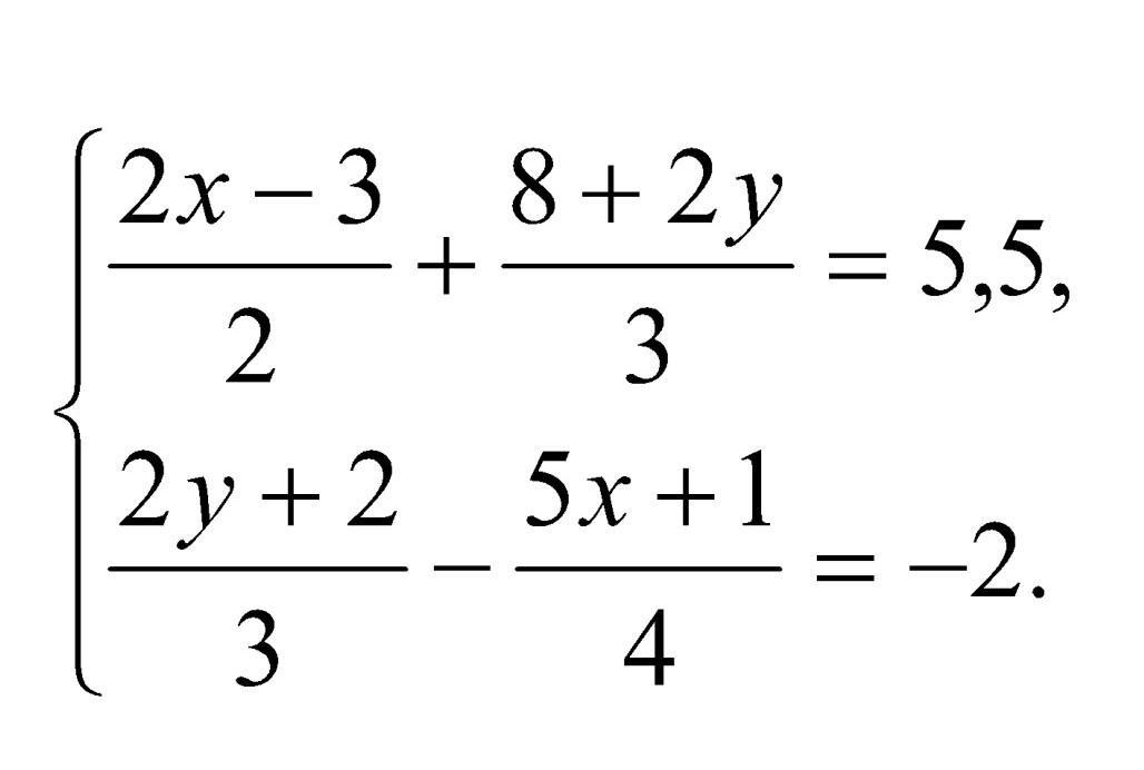
помогите пожалуйста срочно пример решить полностью уже 3 раз пишу ​

Приложения:

Ответы

Ответ дал: lizik20091206
1

Объяснение:

вот держи

надеюсь понятно:)

Приложения:
Вас заинтересует