• Предмет: Алгебра
  • Автор: Alihan1019
  • Вопрос задан 7 лет назад

Решите данные неравенства методом интервала​

Приложения:

Ответы

Ответ дал: Alnadya
0

Решение.

Метод интервалов решения неравенств.

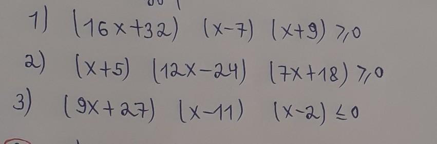
\bf 1) \ (16x+32)(x-7)(x+9)\geq 0

Найдём нули функции, это будут  х= -2 , х=7 , х= -9 .

Отметим их на числовой оси и вычислим знаки функции на полученных промежутках .

- - - [-9 ] + + + + + [-2 ] - - - [ 7 ] + + + +

Ответ:   x∈[-9 ;-2 ] U [ 7 ; +∞ ) .

2)  Решаем аналогично .

\bf (x+5)(12x-24)(7x+18)\geq 0

Нули функции:   \bf x=-5\ ,\ x=2\ ,\ x=-2\dfrac{4}{7}  .

Знаки:   - - - [-5 ] + + + + + [-2 4/7 ] - - - [ 2 ] + + + + +

Ответ:   x∈[ -5 ; -2  4/7 ] U [ 2 ; +∞ ) .

3)   Аналогично .

  \bf (9x+27)(x-11)(x-2)\leq 0

Нули функции:  х=-3 ,  x=11 , x=2 .

Знаки:   - - - - - [-3 ] + + + [ 2 ] - - - - - [ 11 ] + + +

Ответ:   x∈[-∞ ; -3 ] U [ 2 ; 11 ) .

Вас заинтересует