• Предмет: Геометрия
  • Автор: volosniksonia
  • Вопрос задан 7 лет назад

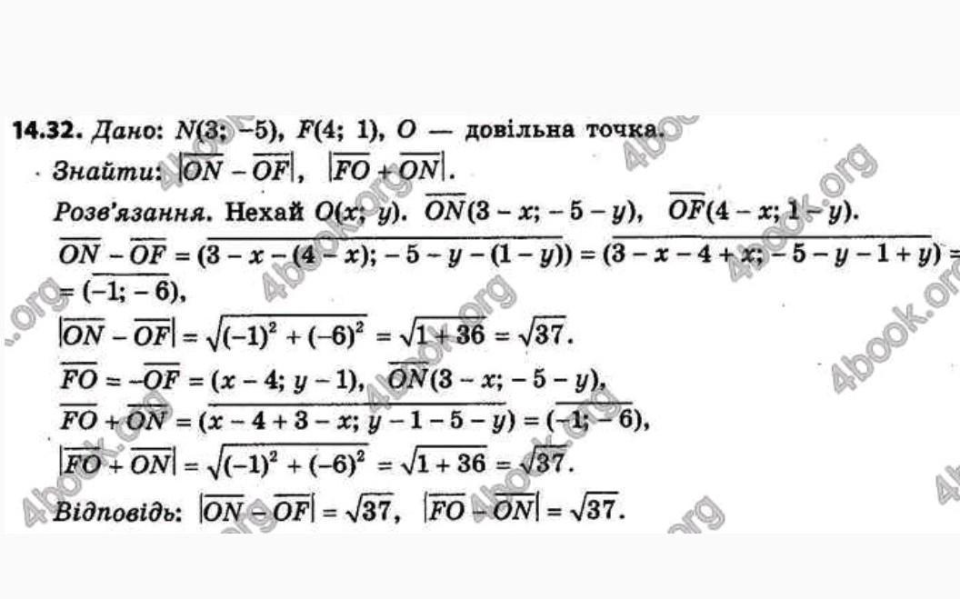
№14.32.
Даны точки N (3; - 5) и F (4; 1). Найдите |ON – OF| ( |вектор ON - вектор OF| ) и |ON + OF| ( |вектор ON + вектор OF| ), где О - произвольная точка.
Помогите, пожалуйста, очень срочно!!! ​ت

Ответы

Ответ дал: zolotarevasofia75
1

Объяснение:

я вот так решал.................

Приложения:
Вас заинтересует