Ответы
Ответ дал:
0
Решение/ответ:
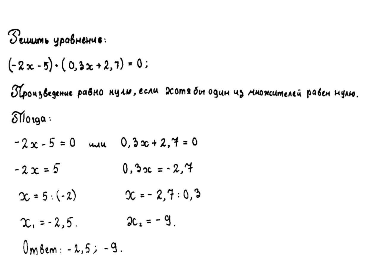
Смотреть в прикреплённой фотографии.
__________
Удачи Вам! :)
Приложения:

Вас заинтересует
2 года назад
2 года назад
2 года назад
8 лет назад
8 лет назад
9 лет назад