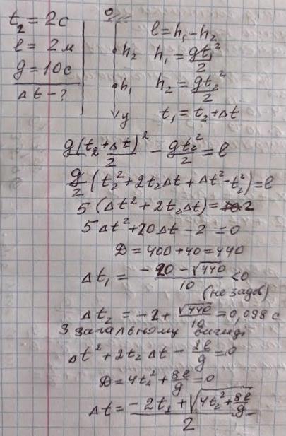
З яким інтервалом часу відірвалися від карниза дві краплі води якщо через 2 с після початку падіння другий краплі відстань між ними було 2 м.
Ответы
Ответ дал:
1
Відповідь: Див. додаток
Пояснення:
Приложения:

cvb115:
У меня в профиле еще есть такая задача, можеш забрать балы
Вас заинтересует
2 года назад
2 года назад
2 года назад
2 года назад
8 лет назад
9 лет назад