• Предмет: Математика
  • Автор: vrosolianyk
  • Вопрос задан 7 лет назад

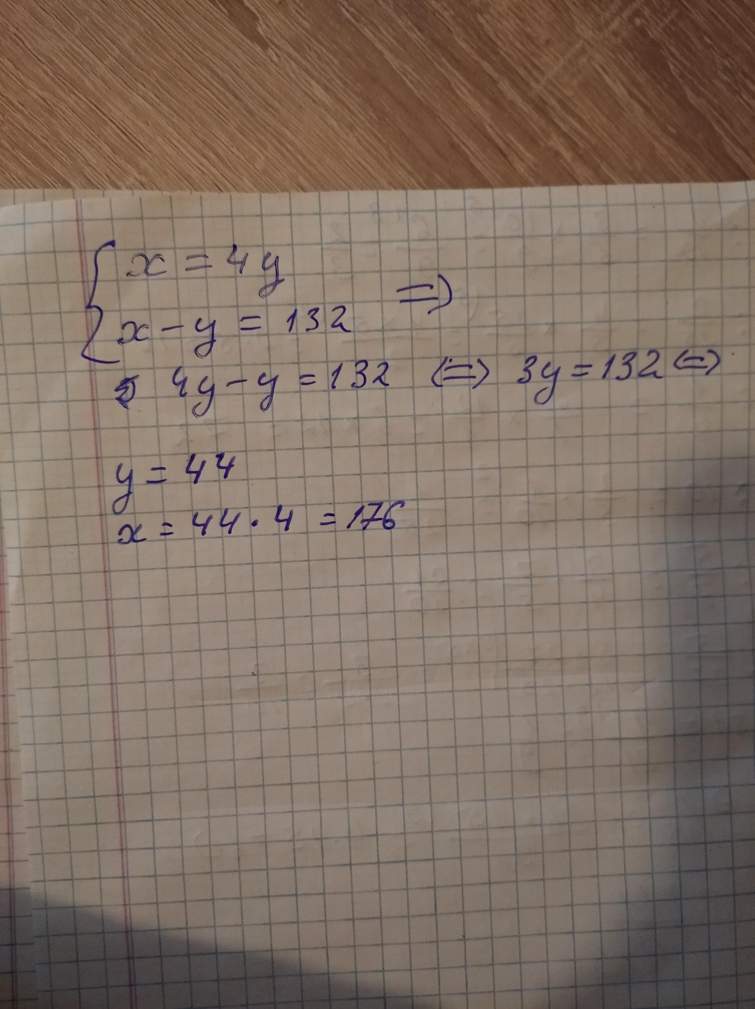
1. Одне число в 4 рази більше за друге, а їхня різниця дорівнює 132. Знайдіть ці числа. 2. Сума трьох чисел дорівнює 94. Перше число на 18 менше за друге, а третє число на 4 більше за від другого Знайдіть ці числа.. ПОМОЖІТЬ СРОЧЧЧНОО​

Ответы

Ответ дал: xcghgfff4
0

Відповідь:

44 и 176

Покрокове пояснення:

Приложения:
Вас заинтересует