• Предмет: Физика
  • Автор: cvb115
  • Вопрос задан 7 лет назад

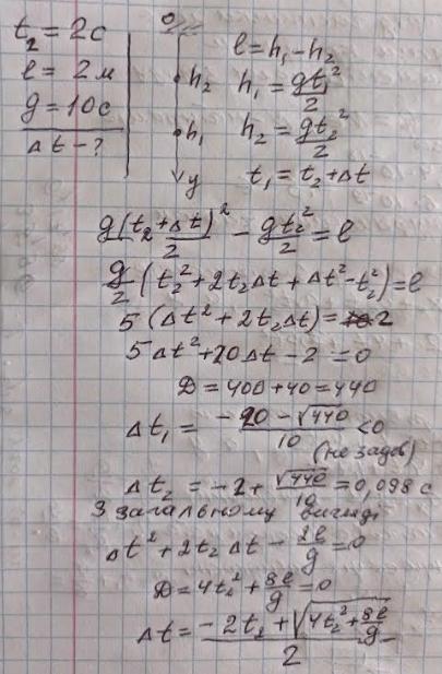
З яким інтервалом часу відірвалися від карниза дві краплі води якщо через 2 с після початку падіння другий краплі відстань між ними було 2 м.


Аноним: нееет я это немогу решить нужно 7 класс заданий нужны

Ответы

Ответ дал: zybkov1950
4

Відповідь: Див. додаток

Пояснення:

Приложения:

cvb115: Тіло знаходилося на висоті 45 м над поверхнею землі, починає вільно падати. Одночасно з висоти 24 м кидають вертикально вгору друге тіло. Знайдіть початкову швидкість другого тіла, якщо відомо, що вони впали на землю одночасно.
cvb115: Можеш пожалуйста и эту решить
cvb115: Тоже в профиле есть
zybkov1950: Вибачаюсь. Я зробив описку g=10 c, має бути g=10 м/c^2
svinkilife07: вірна відповідь : 0,1 !!!
zq1fxqte5knr43nhjrfv: не совсем понял приложение, но ответ - 0,1
Вас заинтересует