нвгписати розв'язання, і чого така відповідь
Приложения:

Аноним:
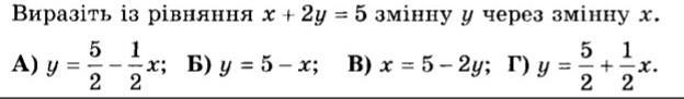
2у=5-х, у=(5-х):2, у=5/2 -1/2 х А)
Ответы
Ответ дал:
0
Ответ:вот
Объяснение:
Приложения:

Ответ дал:
0
Объяснение:
Х+2у=5
2у=5-х
У=5/2 - 1/2 Х
Ответ : А)
Вас заинтересует
2 года назад
2 года назад
2 года назад
2 года назад
9 лет назад
9 лет назад