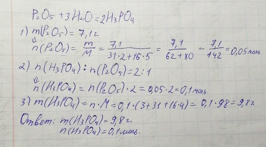
Фосфор(V) оксид масою 7,1 г розчинили у воді. Яка маса i кiлькiсть речовини утвореної ортофосфатної кислоти?
Даю 55 балів!!! Будь ласка допоможіть
Ответы
Ответ дал:
3
Решение задачи на фотографии
Приложения:

Вас заинтересует
2 года назад
2 года назад
2 года назад
2 года назад
8 лет назад
9 лет назад