• Предмет: Алгебра
  • Автор: nburak870
  • Вопрос задан 7 лет назад

Преобразуйте выражения:
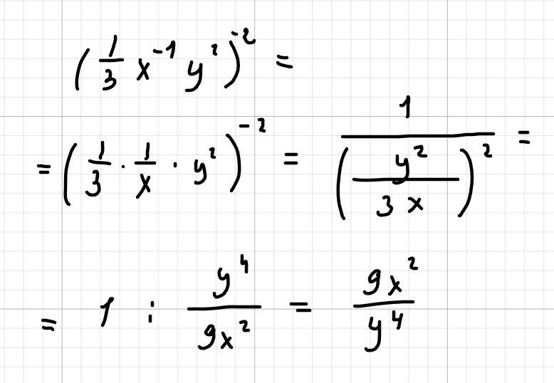
({ \frac{1}{3} } {x}^{ - 1} {y}^{2}) { }^{ - 2} |

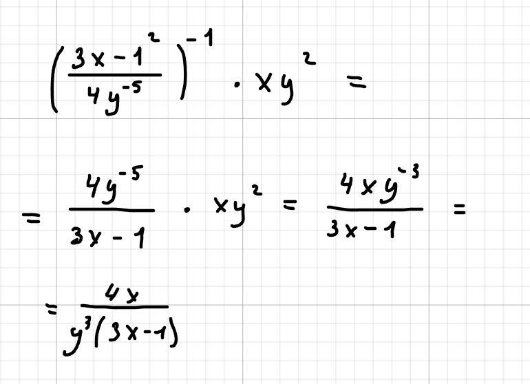
( \frac{3x { - 1}^{2} }{4y {}^{ - 5} } ) {}^{ - 1} \times xy {}^{2}

Ответы

Ответ дал: Гурлей
1

см приложение............

Приложения:

nburak870: спасибо
Вас заинтересует