Решите системы уравнений:
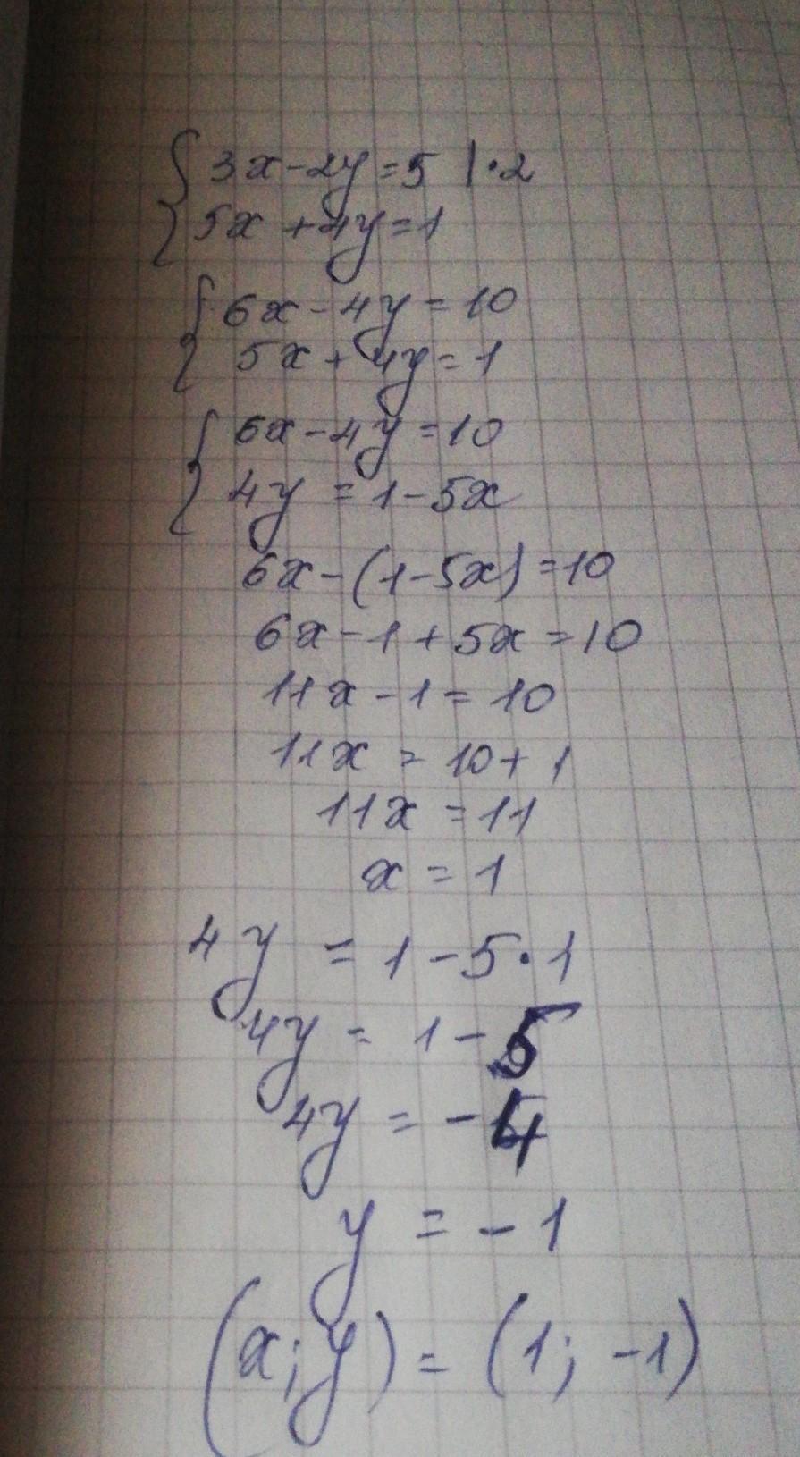
1)3x-2y=5
5x+4=1
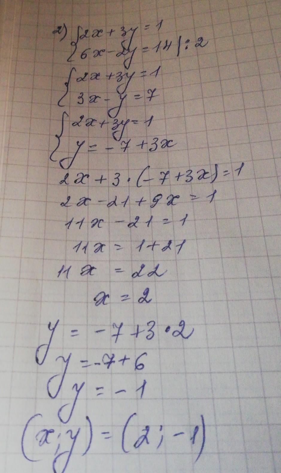
2)2x+3y=1
6x-2y=14
СРОЧНО ПОМОГИТЕ ПОЖАЛУЙСТА ОТДАЮ 65 БАЛЛОВ!!!! СРОЧНО ПОМОГИТЕ ПОЖАЛУЙСТА!!!!!
Ответы
Ответ дал:
0
Ответ:
Смотри решение на фото..
Приложения:


Аноним:
первое решение неправильное смотри мое
Вас заинтересует
2 года назад
2 года назад
8 лет назад
8 лет назад
9 лет назад
9 лет назад