• Предмет: Алгебра
  • Автор: solnyshko020
  • Вопрос задан 7 лет назад

ПОМОГИТЕ РЕШИТЬ ПОЖАЛУЙСТА ДАМ 30 БАЛЛОВ!!!!
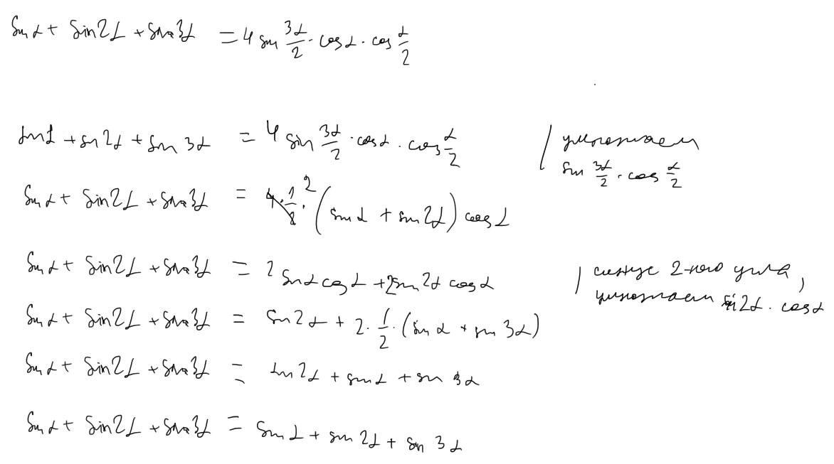
докажите тождество sina+sin2a+sin3a= 4sin 3a/2*cosa*cos a/2

Приложения:

Ответы

Ответ дал: Warlock1
1

Ответ

как-то так

Объяснение:

Приложения:

solnyshko020: спасибо большое!!❤️
Вас заинтересует