• Предмет: Алгебра
  • Автор: chnbhuvv
  • Вопрос задан 7 лет назад

нужно на сейчас, буду благодарен ( это два примера вместе !! НЕ РАЗДЕЛЬНО !! )

Приложения:

Ответы

Ответ дал: jinutroi
0

Ответ:

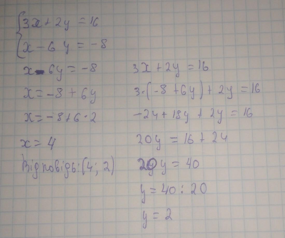
y = 2, x = 4

Объяснение:

Выражаем х через 2-е уравнение: х = 6у-8. Подставляем этот х в 1-е уравнение: 3(6у-8)+2у=16. Решаем и находим у=2. Подставляем у во 2-е уравнение: х= 6*2-8. Решаем и находим х = 4.

Ответ дал: kravchenkovika37
1

Объяснение:

Вибачаюсь якщо не розбірливо

Приложения:

chnbhuvv: нет, всё отлично видно, спасибо большое)
Вас заинтересует