• Предмет: Математика
  • Автор: timur250724
  • Вопрос задан 7 лет назад

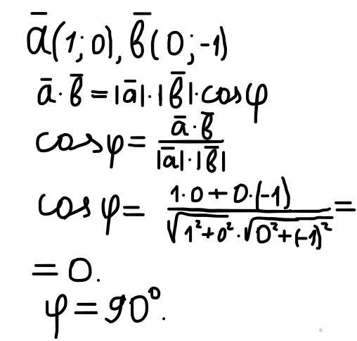
Знайдіть кут між векторами а(1;0) і в(0;-1)​

Ответы

Ответ дал: rammie12349
1

Відповідь на фото/////

Приложения:
Вас заинтересует