• Предмет: Алгебра
  • Автор: ROZYPNAZEGLA
  • Вопрос задан 7 лет назад

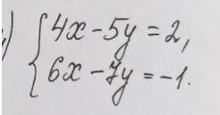
50 балов алгебра пж пж 1 приклад

Приложения:

Ответы

Ответ дал: fullmaster19
1

Объяснение:

12х-15у=3 умножаешь на 3

12х-14у=-2 умножаешь на 2

-15у+14у=5

-у=5

у=-5

12х+75=3

х=-6


ROZYPNAZEGLA: ПАСИБА BILI
Ответ дал: wap280473
0

Ответ:

123

Объяснение:

ето не точно но 123


ROZYPNAZEGLA: НЕТ 1234
Вас заинтересует