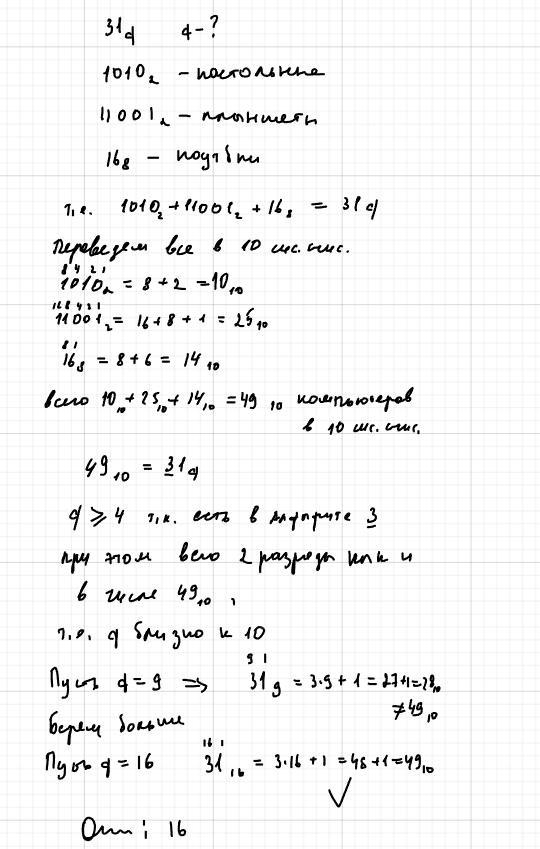
в некоторой школе 31q компьютеров, из них 1010₂-настольные, 16₈-ноутбуки, 11001₂-планшеты. В какой системе счисления приведено общее кол-во компьютеров в школе?
(55 былов), с объяснением пожалуйста, заранее спасибо_)
Ответы
Ответ дал:
1
Ответ: 16
см приложение
Приложения:

rusi123k:
спасибо большое!
Вас заинтересует
2 года назад
2 года назад
2 года назад
8 лет назад
8 лет назад
9 лет назад