Ответы
Ответ дал:
1
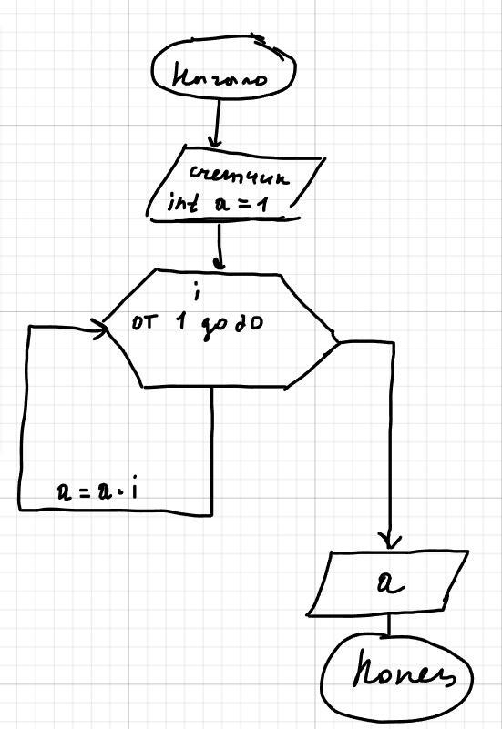
см приложение...............
Приложения:

Вас заинтересует
2 года назад
2 года назад
2 года назад
2 года назад
9 лет назад
9 лет назад