• Предмет: Математика
  • Автор: olediuc
  • Вопрос задан 7 лет назад

Пожалуйста помогите решить

Приложения:

Ответы

Ответ дал: julialymina20
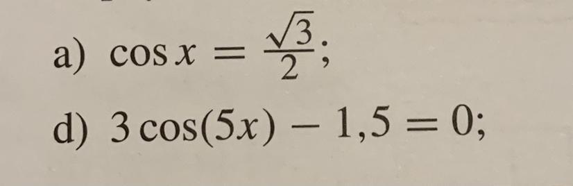
1

Пошаговое объяснение:

а единичная окружность

 \frac{\pi}{6}  + 2\pi \: k

 \frac{11\pi}{6}  + 2\pi \: k

d 3cos(5x) =1, 5

cos(5x)=0, 5

5x =  \frac{\pi}{3}

5x =  \frac{5\pi}{3}

x =  \frac{\pi}{15}  +  \frac{2\pi \: k}{5}

x =  \frac{\pi}{3}  +  \frac{2\pi \: k}{5}

k принадлежит Z

Вас заинтересует