• Предмет: Математика
  • Автор: maximbakum3
  • Вопрос задан 7 лет назад

СРОЧНО, 80 БАЛЛОВ!
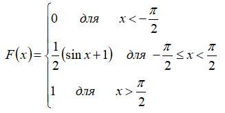
Случайная величина задана функцией распределения
Найти плотность распределения, математическое ожидание, дисперсию и среднее квадратическое отклонение этой случайной величины.

Приложения:

Ответы

Ответ дал: gig215
0

Так или нужно подругому?

Приложения:

maximbakum3: тут просто график функции, мне помимо него нужны плотность распределения, математическое ожидание, дисперсия и среднее квадратическое отклонение
Вас заинтересует