• Предмет: Физика
  • Автор: timosuksereza7
  • Вопрос задан 7 лет назад

Запишіть "Дано" задачі​

Приложения:

Ответы

Ответ дал: zybkov1950
1

Відповідь: 8888,9 с

Пояснення:

Приложения:

timosuksereza7: спасибо но мне надо было только дано
Ответ дал: dedulja66let
1

Ответ:

Объяснение:

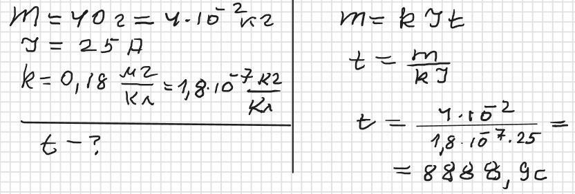
Дано:

m = 40 г = 40·10⁻³ кг

I = 25 А

k = 0,180·10⁻⁶ кг/Кл - электрохимический эквивалент хрома

______________________

t - ?

Из закона Фарадея:

m = k·I·t

находим время электролиза:

t = m / (k·I)

t = 40·10⁻³ / (0,180·10⁻⁶·25) ≈ 8 890 с    или

t = 8 890 / 3600 ≈ 2 часа 28 минут

Вас заинтересует